Author: Anastasia Weidner, summer semester 2025 

The analysis of the H/V ratio is a method from seismology utilized for site classification [1] by studying the ratio between the horizontal and vertical Fourier amplitude of  Rayleigh waves over the frequency of the body of measurement [2]. In material testing  this measuring method can reveal changes of near-surface material parameters. [3] 


Figure 1: Exemplary H/V curve


From Bard et al.: Guidelines for the implementation of the H/V spectral ratio technique on ambient vibrations measurements, processing and interpretation. Bulletin of Earthquake Engineering. (2008) p. 32.


2. Physical principles

When Rayleigh waves propagate in a material, the particles move in an elliptical motion

which consists of a horizontal component 𝐻 and a vertical component 𝑉. [1]



Figure 2:Rayleigh waves (horizontal and vertical components) 
 from Gorokhovich, Y.: Geology 101 for Lehman College (CUNY): 

https://pressbooks.cuny.edu/gorokhovich/chapter/surface-waves/



The H/V ratio describes hereby the ellipticity 𝜒 of the wave movement through the ratio of the two components: [4] 

𝜒 = |𝐻| / |V|

3. Homogenous materials 

3.1. H/V ratio for homogenous materials 

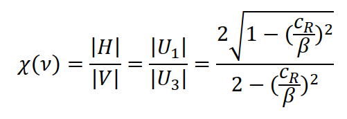
For homogenous, isotropic half-spaces the H/V ratio 𝜒 solely depends on the Poisson ratio 𝜈: [4] 

It can therefore be derived for homogenous materials that:

The H/V ratio 𝜒 is independent of the frequency 𝑓 of the body of measurement, which validates that Rayleigh waves are not dispersive in a homogeneous  medium. [4] 

The ratio remains constant across all frequencies. 

3.2. Application to material testing 

In homogeneous materials, the constant H/V ratio can be useful for:

  • The verification of the material’s characteristics (isotropic / homogeneous) 
  • The estimation of the Poisson ratio 𝜈, giving insights into the elasticity properties of the material 



4. 4. Inhomogenous and layered materials 

4.1. H/V ratio for homogeneous and layered materials

For inhomogeneous half-spaces or those consisting of 𝑛 layers, the H/V ratio 𝜒 becomes more complex, where the horizontal and vertical components depend on numerous  additional parameters like: [6] 

  • longitudinal wave velocities 𝛼𝑛
  • shear wave velocities 𝛽𝑛 
  • density 𝜌𝑛
  • layer thickness 𝑑  
  • frequency 𝑓 
  • Ratio between the density of mass of the layer and half-space [4]
  • Impedance contrast between the layers [4] 

As the ellipticity or H/V ratio 𝜒 varies with the frequency 𝑓, it can be deduced that the  waves exhibit a dispersive behavior. [4] From this, further analyses can be carried out  based on the dispersive properties of the Rayleigh wave.   

Due to the dependance of the H/V ratio in regard to the frequency, plotting an H/V curve over the frequency 𝑓 discloses specific material parameters especially in the case of a  high difference in impedance between the different material layers. [6] 

4.2. 3.2 Application to material testing 

4.2.1.
3.2.1 Peaks in the H/V curve   

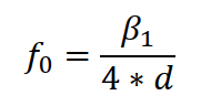
A peak in the H/V spectrum indicates the resonance frequency 𝑓0 of the topmost layer  
𝑛= 1. This frequency can be approximately determined through following formula: [6] 

  • 𝛽1: Shear wave velocity
  • 𝑑: Layer thickness

The shear wave velocity 𝛽1 and layer thickness 𝑑 can therefore be established by reading off the fundamental frequency from the graph.   

During the analysis of the fundamental frequency, it is important to ensure that the entire shape of the H/V curve around both the maximum and minimum is considered.  This avoids misinterpretation from multiple combinations of parameters which can  produce similar H/V responses if solely the peak is interpreted. [6] 


Figure 3: H/V ratio for material with fundamental frequency at ~0.7 Hz 

From Bard et al.: Guidelines for the implementation of the H/V spectral ratio technique on ambient vibrations  measurements, processing and interpretation. Bulletin of Earthquake Engineering. (2008) p. 41. 


4.2.2. 3.2.2  Example of the application of H/V ratio for material testing 

A practical example of the H/V ratio method in non-destructive material testing is described by Malischewsky, Schnapp, and Ziegert. [6]  

Body of measurement: Multilayered sample with 10 mm plexiglass layer on a 25 mm  aluminum layer. 

Measurement: Rayleigh waves were generated using a piezoelectric actuator, and the  horizontal and vertical surface displacements were measured with a laservibrometer.   Results and interpretation: The resulting H/V spectrum displayed a peak at  approximately 40 kHz, as seen on the red curve in Figure 4, corresponding to the  resonance frequency of the plexiglass layer. By comparing the measured H/V curve with theoretical models, the researchers were able to accurately determine both the  thickness and the shear wave velocity of the surface layer. This demonstrates that the  H/V ratio method can be used to non-destructively characterize layer thickness and  mechanical properties in multilayered materials. 


Figure 4: H/V ratio of plexiglass on Aluminium with different source/receiver distances   

From Malischewsky, P. et al: Neue Ideen für die Ultraschallprüfung durch 3D-Aufzeichnung der Signale. ZfP Magazin 190 (2024) 


5. Measuring methods

The H/V ratio can be measured through different devices that are able to capture motion in 3 dimensions: [7] 

  • In geology a seismometer is usually used to acquire H/V data. [8] 
  • During Malischewsky’s ultrasound experiments in NDT piezoelectric elements and laser vibrometer were utilized. [6] 


6. Discussion of H/V ratio in material testing

Evaluating the H/V ratio of Rayleigh waves for material testing is a new methodology in  NDT. It was first proposed by Malischewsky in 2006 as an additional method to the  analysis of dispersion for the determination of material characteristics. It has therefore the potential to be further developed to determine inclusions and other  inhomogeneities.  


7. Literature:

[1] R. W. L. Xu, „The horizontal-to-vertical spectral ratio and its applications,“ EURASIP Adv. Signal Process, Bd. 75, 2021.

[2] Y. Nakamura, „A method for dynamic characteristics estimation of subsurface using microtremor on the ground surface,“ Quarterly Report of Railway Technical  Research, Bd. 30, pp. 25-33, 1989.   

[3] P. S. J. Malischewsky, „Oberflächenwellen und Materialprüfung aus seismologischer Sicht,“ DACH Jahrestagung ZfP in Forschung, Entwicklung und Anwendung, p. 32, 

[4] T. Tuan, „Friedrich-Schiller-Universität Jena,“ 2009. [Online]. Available: https://nbn-resolving.org/urn:nbn:de:gbv:27-20090306-134913-8. [Zugriff am 23 07 2025]. 

[5] P. Malischewsky, „Surface waves,“ in Encyclopedia of Continuum Mechanics, 2018, 6-7.

[6] P. e. a. Malischewsky, „Neue Ideen für die Ultraschallprüfung durch 3D-Aufzeichnung der Signale.,“ ZfP Magazin, Bd. 190, 2024.  

[7] E. e. a. Amin, „Testing the horizontal to vertical spectral ratio technique as a tool for utility detection.,“ Journal of Applied Geophysics, Bd. 173, p. 1, 2020.   

[8] G. i. Group, „Horizontal to Vertical Spectral Ratio Analysis (HVSR),“ [Online].  Available: https://www.g-i.co.nz/our-services/horizontal-to-vertical-spectral-ratio-analysis-hvsr/. [Zugriff am 19 07 2025]. 

 

  • Keine Stichwörter